thesweetdesigns.com
HOME
About
Contact
Disclaimer
Privacy
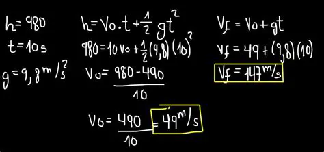
Velocidad al cabo de los 10 segundos
Oct 13, 2025
by thesweetdesigns.com
103
views