thesweetdesigns.com
HOME
About
Contact
Disclaimer
Privacy
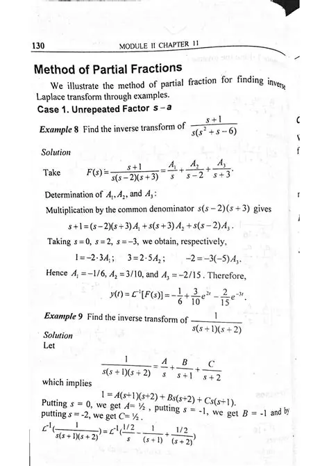
The Method of Partial Fractions
Oct 13, 2025
by thesweetdesigns.com
105
views