thesweetdesigns.com
HOME
About
Contact
Disclaimer
Privacy
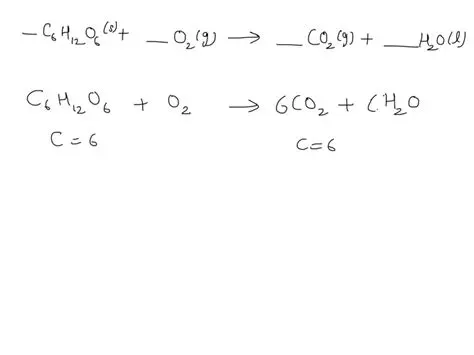
The Chemical Equation for the Combustion of Sugar
Oct 13, 2025
by thesweetdesigns.com
64
views