thesweetdesigns.com
HOME
About
Contact
Disclaimer
Privacy
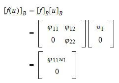
Group Algebra and Invariant Subspaces
Oct 13, 2025
by thesweetdesigns.com
96
views