thesweetdesigns.com
HOME
About
Contact
Disclaimer
Privacy
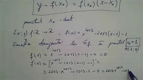
Formula dervivata de la punctul A
Oct 13, 2025
by thesweetdesigns.com
130
views