thesweetdesigns.com
HOME
About
Contact
Disclaimer
Privacy
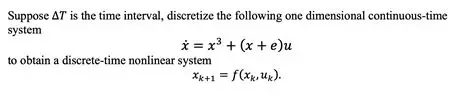
Discretize the time interval
Oct 13, 2025
by thesweetdesigns.com
34
views