thesweetdesigns.com
HOME
About
Contact
Disclaimer
Privacy
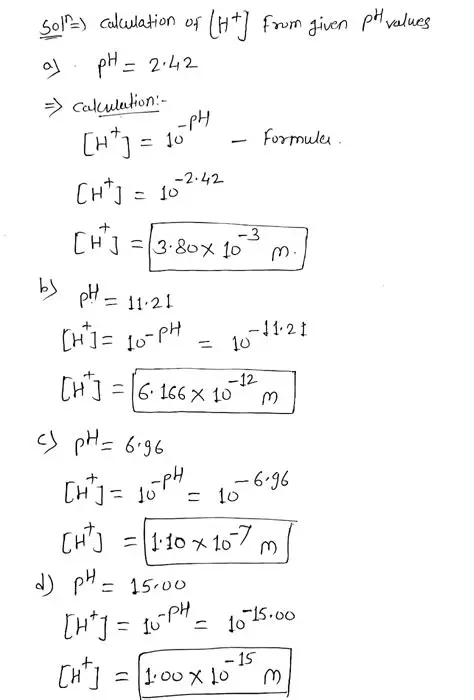
Calculating Hydrogen Ion Concentration
Oct 13, 2025
by thesweetdesigns.com
132
views